首页
部门概况
教务简介
教务通知
质量工程
政策规章
产教融合
人才培养方案
办事指南
首页
新闻动态
公示公告
人才培养方案
部门概况
教务简介
教务通知
质量工程
政策规章
产教融合
人才培养方案
办事指南
教务通知
教务通知
当前位置:
首页
->
教务通知
->
正文
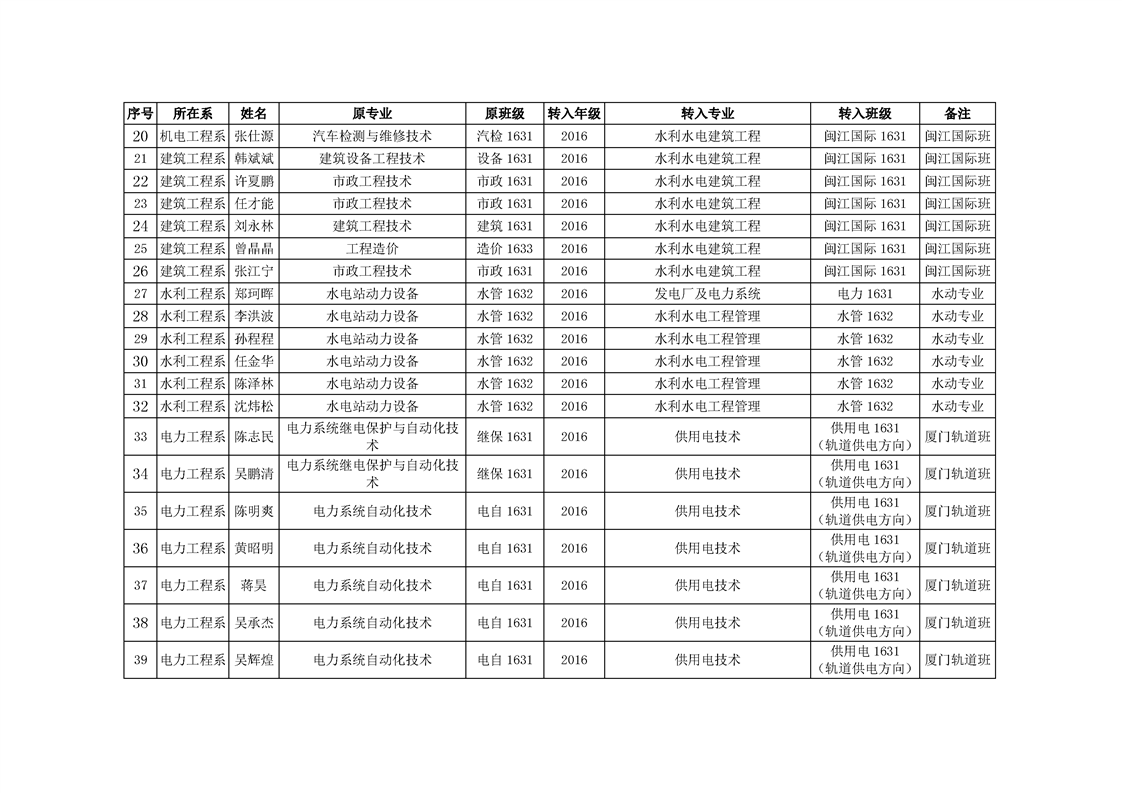
关于2017年转专业名单的公示
信息来源:
发布日期:2017-06-21
上一条:
关于组织开展2016~2017学年第二学期期初教学检查工作的通知
下一条:
关于2016-2017学年第二学期公共任选课网上选课的通知